La Bibliothèque d'Applications présente des modèles construits avec COMSOL Multiphysics pour la simulation d'une grande variété d'applications, dans les domaines de l'électromagnétisme, de la mécanique des solides, de la mécanique des fluides et de la chimie. Vous pouvez télécharger ces modèles résolus avec leur documentation détaillée, comprenant les instructions de construction pas-à-pas, et vous en servir comme point de départ de votre travail de simulation. Utilisez l'outil de recherche rapide pour trouver les modèles et applications correspondant à votre domaine d'intérêt. Notez que de nombreux exemples présentés ici sont également accessibles via la Bibliothèques d'Applications intégrée au logiciel COMSOL Multiphysics® et disponible à partir du menu Fichier.
Bulk Acoustic Wave (BAW) resonators can be used as narrow band filters in radio-frequency applications. The chief advantage compared with traditional ceramic electromagnetic resonators is that BAW resonators, thanks to the acoustic wavelength being much smaller than the electromagnetic ... En savoir plus
DC glow discharges in the low-pressure regime have long been used for gas lasers and fluorescent lamps. DC discharges are attractive to study because the solution is time independent. The 1D and 2D models show how to use the DC Discharge interface to set up an analysis of a positive ... En savoir plus
This tutorial demonstrates how an electrical circuit model of a MEMS resonator can be derived using the Parameter Estimation feature. The model is a modified Butterworth-Van Dyke circuit created using the Electrical Circuit interface and represents a Thin-Film Bulk Acoustic Resonator ... En savoir plus
Streamers are transient filamentary electric discharges that can develop in a nonconducting background in the presence of an intense electric field. These discharges can attain high electron number density and consequently a high concentration of chemical active species that are relevant ... En savoir plus
This tutorial demonstrates a full electro-vibroacoustic analysis of a conceptual electrostatic speaker driver, composed of thin conducting plastic diaphragm residing between two perforated metal sheets called grids or stators. When an audio signal is applied to the grids (out of phase), ... En savoir plus
This series of models demonstrates how to do advanced electric machine modeling with COMSOL Multiphysics® — in 2D, 2.5D, and full 3D with end effects included. It investigates the performance of a Permanent Magnet Synchronous Motor, as is often used in modern electric vehicles. ... En savoir plus
An electrostatically actuated MEMS resonator is simulated in the time and frequency domains. The device is driven by an AC + DC bias voltage applied across a parallel plate capacitor. The dependence of the resonant frequency on DC bias is assessed, and frequency domain and transient ... En savoir plus
This tutorial model presents a study of a coaxial DC corona discharge in dry air at atmospheric pressure. The dimensions and operation conditions are similar to ones found in electrostatic precipitators with wire-to-plate configurations. The inner wire electrode has a 100-mm radius and ... En savoir plus
This model is a static 3D simulation of a generator having a rotor with permanent magnets. The center of the rotor consists of annealed medium carbon steel, which is a nonlinear ferromagnetic material that is saturated at high magnetic flux densities. The core is surrounded by several ... En savoir plus
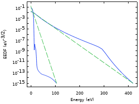
This tutorial models a DC glow discharge by solving fluid-type plasma equations fully coupled with the homogeneous and time-independent electron Boltzmann equation in the classical two-term approximation. The approximated Boltzmann equation is solved for each position of space and is ... En savoir plus

 
                                 
                                 
                                 
                                 
                                 
                                 
                                 
                                 
                                