La Bibliothèque d'Applications présente des modèles construits avec COMSOL Multiphysics pour la simulation d'une grande variété d'applications, dans les domaines de l'électromagnétisme, de la mécanique des solides, de la mécanique des fluides et de la chimie. Vous pouvez télécharger ces modèles résolus avec leur documentation détaillée, comprenant les instructions de construction pas-à-pas, et vous en servir comme point de départ de votre travail de simulation. Utilisez l'outil de recherche rapide pour trouver les modèles et applications correspondant à votre domaine d'intérêt. Notez que de nombreux exemples présentés ici sont également accessibles via la Bibliothèques d'Applications intégrée au logiciel COMSOL Multiphysics® et disponible à partir du menu Fichier.
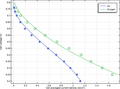
This tutorial demonstrates how to use stationary polarization data to perform parameter estimation of a polymer electrolyte membrane fuel cell (PEMFC) model. The model, defining a 5-layer membrane electrode assembly (MEA) is two-dimensional and includes electronic and ionic charge ... En savoir plus
Corrosion induced due to alternating current (AC) is evident in the oil and gas industry, particularly when a pipeline is in close proximity to the high power transmission lines. A numerical model presented here first evaluates the effect of direct current (DC) applied potential on ... En savoir plus
This model simulates the shape evolution of a microconnector bump over time as copper deposits on an electrode surface. Transport of cupric ions in the electrolyte occurs by convection and diffusion. The electrode kinetics are described by a concentration dependent Butler-Volmer ... En savoir plus
This tutorial demonstrates how to integrate multiple Lumped Battery models into the Electrical Circuit interface. Two batteries are connected in series. Each battery is protected by a shunt resistances that is activated if the battery state-of-charge reaches below a certain threshold ... En savoir plus
The model simulates atmospheric corrosion of a galvanic couple, comprising of an Al-Co-Ce metallic coating and an aluminum alloy, which is in contact with electrolyte film of 100 micrometer thickness. The corrosion inhibitors are released from the metallic coating and are transported ... En savoir plus
Zone electrophoresis (ZE) is an electrophoretic separation technique typically used for analyzing proteins, nucleic acids, and biopolymers. During the process, different species in a sample are transported in a continuous electrolyte buffer system, subject to a potential gradient. Due to ... En savoir plus
This model incorporates the transport and electrolytic reaction in the treatment of tumor tissue. Oxygen evolution at the anode produces protons, which lowers the pH, while chlorine production also leads to lowered pH through the hydrolysis of chlorine. One effect of a low pH is the ... En savoir plus
A deceptively simple system of two species and two reactions, describing the autocatalytic conversion of a substance, is shown to display a surprisingly exotic behavior. Starting from a 0D CSTR description, a 2D reaction-diffusion problem is formulated showing rich patterns stemming from ... En savoir plus
This model reproduces the NiCd battery model and the results presented in De Vidts' and White's paper from 1995. Ref: P. De Vidts, R. E. White, “Mathematical Modeling of a Nickel-Cadmium Cell: Proton Diffusion in the Nickel Electrode”, J. Electrochem. Soc, Vol. 142, No. 5, May 1995. En savoir plus
This model illustrates the effect of oxygen and hydrogen formation and recombination on the performance and self-discharge of an electrochemical capacitor with a water-based electrolyte. A load cycle consisting of mixed constant current pulses and rest periods at an open circuit is ... En savoir plus
