La Bibliothèque d'Applications présente des modèles construits avec COMSOL Multiphysics pour la simulation d'une grande variété d'applications, dans les domaines de l'électromagnétisme, de la mécanique des solides, de la mécanique des fluides et de la chimie. Vous pouvez télécharger ces modèles résolus avec leur documentation détaillée, comprenant les instructions de construction pas-à-pas, et vous en servir comme point de départ de votre travail de simulation. Utilisez l'outil de recherche rapide pour trouver les modèles et applications correspondant à votre domaine d'intérêt. Notez que de nombreux exemples présentés ici sont également accessibles via la Bibliothèques d'Applications intégrée au logiciel COMSOL Multiphysics® et disponible à partir du menu Fichier.
Liquid-liquid extraction is a process used to separate or transfer species between two immiscible liquids. Transfer of species from one phase to the other is driven by a difference in relative solubility. In this model a water filled extraction column is studied. Oil droplets containing ... En savoir plus
This example considers the thermal cracking of acetone, which is a key step in the production of acetic anhydride. The gas phase reaction takes place under nonisothermal conditions in a plug-flow reactor. As the cracking chemistry is endothermic, control over the temperature in the ... En savoir plus
This 2D stationary model computes heat and moisture transport in a wall composed of different hygroscopic materials. A comparison with the Glaser method is given for the temperature and relative humidity solutions. The effect of the use of a vapor barrier is also investigated. En savoir plus
Predicting the transport of solutes that move with subsurface fluids is of general interest in environmental engineering and geosciences. Solutes may not only be pollutants but also artifical tracers added to the groundwater for investigation purposes. This model tracks a solute over ... En savoir plus
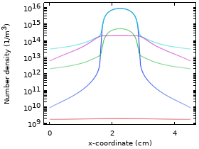
This benchmark model simulates three different heterojunction configurations under forward and reverse bias. It shows the difference in using the continuous quasi-Fermi level formulation versus the thermionic emission formulation for the charge transfer across the heterojunction. The ... En savoir plus
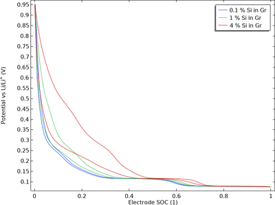
This tutorial demonstrates the Lumped Battery interface for modeling capacity loss in a battery. A set of lumped parameters are used to describe the capacity loss that occurs due to parasitic reactions in the battery, assuming no knowledge of the internal structure or design of the ... En savoir plus
Just like optical lenses focus light, electric and magnetic lenses can be used for focusing beams of charged particles. This COMSOL Multiphysics model shows the path of B5+ ions passing through a focusing system of three magnetic quadrupoles. Each of the quadropoles focus the beam of ... En savoir plus
Reflow soldering is an important process in IC packaging. In reflow soldering, the solder materials are melted to create joints between electrical components and the PCBs for structural and electrical connections. This model demonstrates the process of attaching chips to a PCB by reflow ... En savoir plus
SMA connectors are popularly used on printed circuit boards (PCB) for testing. This model shows how to excite an SMA connector on a microwave substrate and how to terminate a grounded coplanar waveguide (GCPW) with 50 ohm using a lumped port and an air-bridge. En savoir plus
Surface plasmon-based circuits are being used in applications such as plasmonic chips, light generation, and nanolithography. The Plasmonic Wire Grating Analyzer application computes the coefficients of refraction, specular reflection, and first-order diffraction as functions of the ... En savoir plus
