La Bibliothèque d'Applications présente des modèles construits avec COMSOL Multiphysics pour la simulation d'une grande variété d'applications, dans les domaines de l'électromagnétisme, de la mécanique des solides, de la mécanique des fluides et de la chimie. Vous pouvez télécharger ces modèles résolus avec leur documentation détaillée, comprenant les instructions de construction pas-à-pas, et vous en servir comme point de départ de votre travail de simulation. Utilisez l'outil de recherche rapide pour trouver les modèles et applications correspondant à votre domaine d'intérêt. Notez que de nombreux exemples présentés ici sont également accessibles via la Bibliothèques d'Applications intégrée au logiciel COMSOL Multiphysics® et disponible à partir du menu Fichier.
These models use the Discrete Ordinates method (DOM) and P1 approximation to solve a 3D radiative transfer problem in an emitting, absorbing, and linear-anisotropic scattering finite cylindrical medium. Using the S6 quadrature of DOM leads to accurate results, which are needed in ... En savoir plus
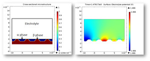
This example models the desalination of water by capacitive deionization in a "flow-between" cell (fbCDI). The model geometry is in 2D. Steady Brinkman flow, a tertiary current distribution, and the improved modified Donnan description of the deionization process is assumed. En savoir plus
The following model demonstrates the usage of the Radiative Beam in Absorbing Media interface for computing the heating of semitransparent materials. Specifically, the model analyzes how a Gaussian profile laser beam heats two different semitransparent materials deposited onto a silicon ... En savoir plus
This benchmark model compares the damping coefficients of perforated plates from computation results versus experimental data. The simulation includes 18 different geometric configurations. It uses the Bao's perforation model, which is built-in in the Thin Film Flow physics interface. ... En savoir plus
In this example, monotonic and cyclic triaxial tests are simulated using the Hardening Soil Small Strain material model. The model captures the effects of small strain stiffness and hysteresis under cyclic loading. The stress-strain relationship matches the hyperbolic curve reported in ... En savoir plus
Inductive devices experience capacitative coupling between conductors at high frequencies. Modeling this phenomenon requires that you describe electric fields that have components both parallel with and perpendicular to the wire. This consideration might lead to the conclusion that a 3D ... En savoir plus
In small PEM fuel cell systems (in the sub-100 W range) no active devices for cooling or air transport are normally used. This is due to the desire to minimize parasitic power losses from pumps and fans, and to reduce the system complexity, size, and cost. The reactants at the cathode ... En savoir plus
This tutorial uses a 2D model of an acoustically driven microfluidic pump. The acoustic microfluidic pump is driven by acoustic streaming originating from sharp edges in the microfluidic channel. It drives a flow around a closed microfluidic channel loop. The acoustic field is modeled ... En savoir plus
Quantum dots are nano- or microscale devices created by confining free electrons in a 3D semiconducting matrix. Those tiny islands or droplets of confined “free electrons” (those with no potential energy) present many interesting electronic properties. They are of potential importance ... En savoir plus
A plane-wave mode feeds an axisymmetric horn radiating from an infinite baffle toward an open half space. The radius of the waveguide attached to the horn throat is assumed to be fixed, as well as the depth of the horn and the size of the horn mouth attached to the baffle. By varying the ... En savoir plus
