La Bibliothèque d'Applications présente des modèles construits avec COMSOL Multiphysics pour la simulation d'une grande variété d'applications, dans les domaines de l'électromagnétisme, de la mécanique des solides, de la mécanique des fluides et de la chimie. Vous pouvez télécharger ces modèles résolus avec leur documentation détaillée, comprenant les instructions de construction pas-à-pas, et vous en servir comme point de départ de votre travail de simulation. Utilisez l'outil de recherche rapide pour trouver les modèles et applications correspondant à votre domaine d'intérêt. Notez que de nombreux exemples présentés ici sont également accessibles via la Bibliothèques d'Applications intégrée au logiciel COMSOL Multiphysics® et disponible à partir du menu Fichier.
This tutorial model demonstrates the use of the multiphysics coupling feature Thermal Connection, Layered Shell, Surfaces. In this model, three layered shells are connected to heat domains by interior and exterior boundaries. The results obtained with the Heat Transfer in Shells ... En savoir plus
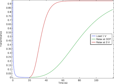
Electrochromic devices (ECDs) may be employed in ”smart” windows, for instance in buildings or motor cycle visors, where the transparency of the device can be controlled by applying a voltage. ECDs make use of the fact that the absorbance of visual light for a chemical species in a ... En savoir plus
This model computes the specific acoustic radiation impedance of a very small circular vent in a flanged configuration. The model includes thermoviscous losses. The radiation impedance is fitted using a simple RL circuit which gives a simple lumped representation. The results are used ... En savoir plus
Inverted elements can prevent large deformations for shape optimization. This model demonstrates how this problem can be circumvented using export/import of the geometry and a model method. The technique is demonstrated on a benchmark problem from topology optimization, where the ... En savoir plus
This tutorial model of the Joule heating effect in a busbar demonstrates how to synchronize an assembly between the PTC Pro/ENGINEER® software and the COMSOL Multiphysics® software, how to modify the geometry from COMSOL Multiphysics®, and how to run a geometric ... En savoir plus
In this example, phase transformation data and phase material properties are imported from JMatPro, and used to compute CCT curves. Dilatometry curves (axial thermal strain) are computed across a range of cooling rates. En savoir plus
A gray body with a spherical cavity with various opening areas is simulated using the Heat Transfer, Surface-to-Surface Radiation interface. The emissivity for each case is computed and compared with the classical gray body theory. The COMSOL Multiphysics® result agrees very ... En savoir plus
This tutorial model compares the results between a domain approach and the Thin Moisture Barrier feature to simulate the moisture transport in a wall with a vapor barrier. The Thin Moisture Barrier feature neglects diffusion, two studies are proposed, a first one where diffusion is ... En savoir plus
A line array of eleven spherical hydrophones embedded in a neoprene coating is modeled in 3D. The sensitivity of the array is analyzed with regard to varying angles of incidence of the background pressure field. The array directivity function is computed and compared to the analytical ... En savoir plus
This tutorial demonstrates how to model ultrasound imaging in human tissue using an imaging probe composed of piezoelectric arrays that generate steered and focused beams. Simulating this process requires a transient multiphysics model to accurately capture sound generation, propagation, ... En savoir plus
