La Bibliothèque d'Applications présente des modèles construits avec COMSOL Multiphysics pour la simulation d'une grande variété d'applications, dans les domaines de l'électromagnétisme, de la mécanique des solides, de la mécanique des fluides et de la chimie. Vous pouvez télécharger ces modèles résolus avec leur documentation détaillée, comprenant les instructions de construction pas-à-pas, et vous en servir comme point de départ de votre travail de simulation. Utilisez l'outil de recherche rapide pour trouver les modèles et applications correspondant à votre domaine d'intérêt. Notez que de nombreux exemples présentés ici sont également accessibles via la Bibliothèques d'Applications intégrée au logiciel COMSOL Multiphysics® et disponible à partir du menu Fichier.
This model demonstrates the use of moving meshes in the application of copper electrodeposition on circuit boards. In these environments, the presence of cavities or 'trenches' are apparent. The model makes use of the Tertiary, Nernst-Planck interface for electrodeposition to keep track ... En savoir plus
In a lithium metal battery, lithium metal is deposited during charging on the negative electrode. Mass transport and ohmic effects in the electrolyte cause small protrusions on the metal surface to be subjected to accelerated growth during charging. In worst case scenarios, this leads to ... En savoir plus
This example models galvanic corrosion between two different phases in a magnesium alloy for a representative cross-sectional microstructure configuration. The Phase Field interface is used here to model dissolution of a constituent phase leading to topological changes. The electrode ... En savoir plus
Steel pipelines are often subjected to complex stress/strain conditions in the oil and gas industry. Additionally, pipes are subjected to significant longitudinal strain due to soil movement. For the elastoplastic stress simulation, the Solid Mechanics interface is used with the small ... En savoir plus
In this example, drug-release from a biomaterial matrix to damaged cell tissue is modeled. Specifically, a nerve guide delivers a regenerating drug to damaged nerve ends. The model involves detailed drug release kinetics, with rate expressions handling drug dissociation/association ... En savoir plus
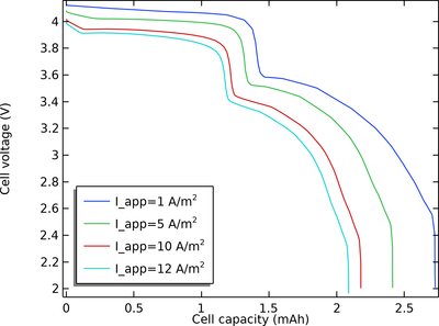
This example demonstrates the Lithium-Ion Battery, Single-Ion Conductor interface for studying the discharge of a lithium-ion battery with solid electrolyte. The geometry is in one dimension and the model is isothermal. The behavior at various discharge currents and solid electrolyte ... En savoir plus
Deposition of metallic lithium on the negative electrode in preference to lithium intercalation is known to be a capacity loss and safety concern for lithium-ion batteries. Harsh charge conditions such as high currents (fast charging) and/or low temperatures can lead to lithium plating. ... En savoir plus
An isothermal single particle model formulation for a lithium-ion battery is presented in this work. The single particle model is a simplification of the 1D formulation for a lithium-ion battery along with a few assumptions. The model is typically valid for low-medium current scenarios. ... En savoir plus
High-power battery energy storage systems (BESS) are often equipped with liquid-cooling systems to remove the heat generated by the batteries during operation. This tutorial demonstrates how to define and solve a high-fidelity model of a liquid-cooled BESS pack which consists of 8 ... En savoir plus
This tutorial uses a “black-box” approach to define a battery model based on a small set of lumped parameters, assuming no knowledge of the internal structure or design of the battery electrodes, or choice of materials. The input to the model is the battery capacity, the initial state ... En savoir plus
