La Bibliothèque d'Applications présente des modèles construits avec COMSOL Multiphysics pour la simulation d'une grande variété d'applications, dans les domaines de l'électromagnétisme, de la mécanique des solides, de la mécanique des fluides et de la chimie. Vous pouvez télécharger ces modèles résolus avec leur documentation détaillée, comprenant les instructions de construction pas-à-pas, et vous en servir comme point de départ de votre travail de simulation. Utilisez l'outil de recherche rapide pour trouver les modèles et applications correspondant à votre domaine d'intérêt. Notez que de nombreux exemples présentés ici sont également accessibles via la Bibliothèques d'Applications intégrée au logiciel COMSOL Multiphysics® et disponible à partir du menu Fichier.
An AC contactor is a particular type of magnetic switch device, which is activated by a primary coil fed by an alternating current. Unlike DC switches, such devices can suffer from a tendency to reopen when the AC current crosses zero. The addition of a shading coil that supports ... En savoir plus
This example benchmarks a NAFEMS validation model of a friction contact problem with an elastoplastic material model. A thin metal sheet is forced into a die by a punch. Both the compressing displacement and the release of the punch are modeled in order to compute the forming angle (at ... En savoir plus
This is a tutorial model that illustrates the use of the scattered field formulation in acoustics. A solid object (here an ellipsoid) is hit by an incident plane wave field (background pressure field). The model solves for the scattered field. The model uses a PML and a far-field ... En savoir plus
This model example shows how to model nonlinear propagation of a cylindrical wave using the Nonlinear Pressure Acoustics, Time Explicit physics interface available in Acoustics Module of COMSOL Multiphysics. The interface implements the system of nonlinear acoustic equations in the form ... En savoir plus
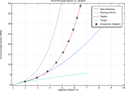
This model demonstrates the inflation of a rubber balloon with four different hyperelastic material models. The results are compared with the analytical solution for a thin-walled, spherical vessel. Controlling the inflation of hyperelastic balloons is important in clinical ... En savoir plus
Electrical events, such as an overcurrent or overload, can seriously damage electrical circuits or power lines. To avoid expensive replacements of critical parts, electric switch circuit breakers can be installed. These mechanically interrupt the current flow or surge by moving a plunger ... En savoir plus
A Chladni plate is a metal plate that is covered in sand and subjected to vibrations. At certain frequencies, the vibrations produce standing waves, resulting in sand patterns formed on the plate. The vibrations are either formed from a violin bow at the side of the plate or a wave ... En savoir plus
It is often not possible to insert a normal microphone directly into the sound field being measured. The microphone may be too big to fit inside the measured system, such as for in-the-ear measurements for hearing aid fitting. The size of the microphone may also be too large compared to ... En savoir plus
This example demonstrates the bending analysis of a simply supported composite laminate under sinusoidal distributed transverse load. The composite laminate is thick, with a thickness to side length ratio of 1/4. The laminate has three layers in a cross-ply layup. The model is solved ... En savoir plus
When simulations are involved in the development of mobile devices, consumer electronics, hearing aids, or headsets, it is necessary to consider how the transducers interact with the rest of the system. Here, we show an analysis of the interaction between a vibration isolation mounting ... En savoir plus
